電動卷簾門因其便利性和安全性得到了廣泛的應用,電動卷簾門的性能與其電機的功率密切相關,因此了解電動卷簾門電機的功率規格及其計算方法顯得尤為重要。電動卷簾門電機的功率規格和計算方法如下:
1.電機功率規格
電動卷簾門電機的功率通常在100W到1000W之間,具體取決于以下因素:
-門體尺寸:門越大,所需功率越高。
-門體重量:門越重,電機功率需求越大。
-使用頻率:頻繁開關的門需要更大功率。
-運行速度:速度越快,功率需求越高。
2.電機功率計算
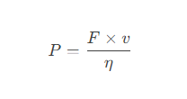
電機功率可通過以下公式估算:

其中:
-(P)為電機功率(W)
-(F)為提升力(N),等于門體重量乘以重力加速度(9.8 m/s2)
-(v)為卷簾門運行速度(m/s)
-(n)為機械效率,通常取0.7到0.9
3.計算步驟

4.注意事項
-安全系數:實際選擇電機時,建議增加20%-30%的余量。
-環境因素:高溫或多塵環境可能影響電機性能,需選擇更高功率。
5.常見規格
-小型門:100W-300W
-中型門:300W-600W
-大型門:600W-1000W

